Hi all,
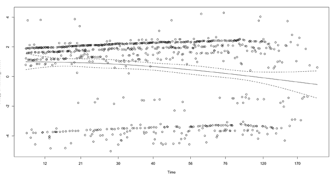
I obtain the following Schoenfeld residuals plot for one of the variables (binary variable) after fitting a multivariable cox model. The cox.zph() test flags this variable as highly violating the proportionality assumption with a p-value <0.0001. I’ve got 1220 records with 820 events. In the model there are only six variables (candidate predictor parameters = 10) with a shrinkage estimate of 0.96. The variable of interest here can’t be stratified as it is the primary variable of interest in the study.
What are your thoughts on this? Should I proceed with graphical assessment as opposed to the test results as discussed in Therneau and Grambsch Section 6.5 of their book (Modeling Survival Data: Extending the Cox Model | SpringerLink): “A “significant” nonproportionality may make no difference to the interpretation of a data set, particularly for large sampIe sizes.” ?
Many thanks,
